H Methode Beispiel

Differentialquotient Und H Methode Mit F X 3x 2 Bei X 1 Youtube

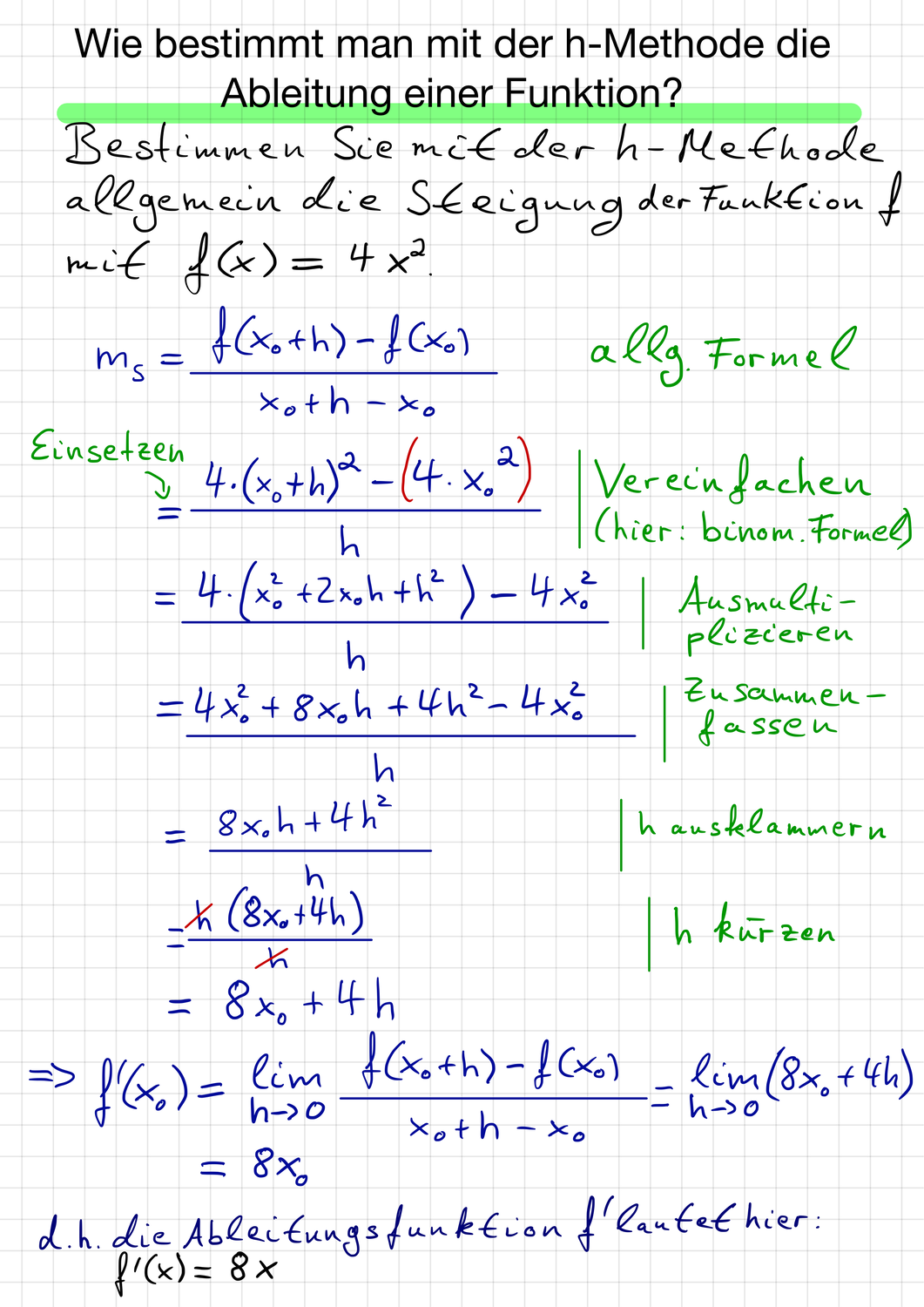
In diesem artikel erklären wir dir die h methode eine methode aus dem bereich der differentialrechung und zeigen dir beispiele dazu.

H methode beispiel. Here is the syntax of this method public char charat int index parameters. Anstatt x gegen x 0 laufen zu lassen lässt man diesmal die differenz h x x 0 gegen 0 laufen. F x lim h 0 2 x 2 h 2 x h. This method returns the character located at the string s specified index.

Here is the detail of parameters index index of the character to be returned. F left x 0 right lim h to 0 frac f x 0 h f x 0 h damit lässt sich die ableitung an der stelle x 0 berechnen. F x lim h 0 2 h h 2. Konkrete beispiele zur h methode mit x0 gegeben ist die funktion f x 4 x 5 und x0 5 also solch hier die steigung des graphen der funktion an dieser stelle bzw.

Die h methode ist eine andere interpretation des differentialquotienten. In diesem video erkläre ich dir wie man mit der h methode die steigung einer funktion an einer bestimmten stelle berechnet. Um das zu verschaulichen schauen wir uns beispiel 1 nochmals mit der h methode an. H x 1 x 0 die variable h daher der name h methode steht demnach für den abstand zweier x werte.

Anschaulich und leicht verständlich findest du alles wichtige zur h methode in unserem video schau es dir unbedingt an. Ich gebe dir außerdem einen schr. Mit der funktion f x 2x. Mit der h methode lässt sich die ableitung so berechnen.

F x lim h 0 f x h f x h. Playlist differentialrechnung differentialquotient ableitungsfunktionen. F x lim h 0 2 x h 2 x h. Die idee hinter der h methode ist dass man nicht einen speziellen punkt x 1 in den differenzenquotienten einsetzt sondern einen platzhalter h für den gilt.

This method returns a char at the specified.

Source : pinterest.com