E Funktion Beispiel

Arbeitsblatt Zur Kettenregel Ableitung Es Kann Als Faltblatt Und Ubungsblatt Kostenlos Auf Studimup De Gedownloadet Nachhilfe Mathe Mathe Unterrichten Mathe

Ein beispiel dafür das die welt im jahr 2020 in atem hielt ist das sogenannte corona virus.

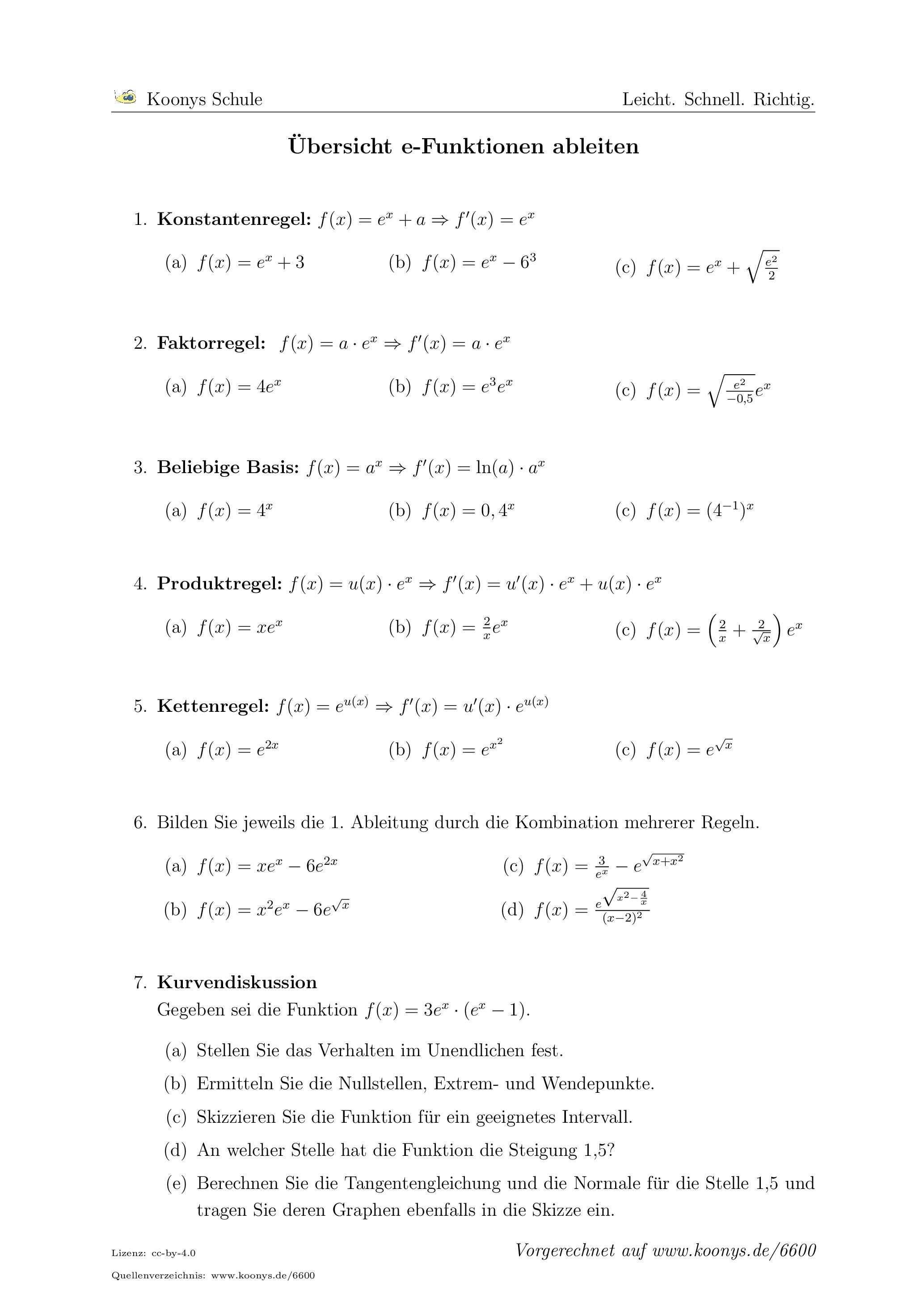
E funktion beispiel. Den schnittpunkt mit der y achse bei berechnest du auch hier indem du einsetzt. In diesem beispiel erhältst du als. In obiger graphik siehst du jedoch dass beispielsweise die funktion nullstellen bei hat. Dafür bestimmst du die innere funktion und äußere funktion berechnest deren ableitungen und und setzt sie anschließend in die formel der kettenregel.

Sie hat die form und heißt exponentialfunktion da sie im exponenten ein x enthält. Die funktionsgleichung der e funktion ist f x ex f x e x. Eine exponentialfunktion ermöglicht es dir exponentielles wachstum zu beschreiben. Y 2x y 2 x die variable im exponenten.

Ein beispiel hierfür wäre die funktion. Natürliche exponentialfunktion gehört zu den exponentialfunktionen. Im unterschied zu den potenzfunktionen z. In so einem fall musst du die kettenregel anwenden um die e funktion ableiten zu können.

Dafür verläuft die e funktion wie alle exponentialfunktionen der form durch den punkt was der einzige schnittpunkt mit der y achse ist. F x operatorname e x quad rightarrow quad f x operatorname e x. Y x2 y x 2 bei denen die variable in der basis ist steht bei exponentialfunktionen z. Bei der betrachtung des grenzverhaltens orientieren wir uns an der e funktion die am stärksten wachsende funktion.

Source : pinterest.com