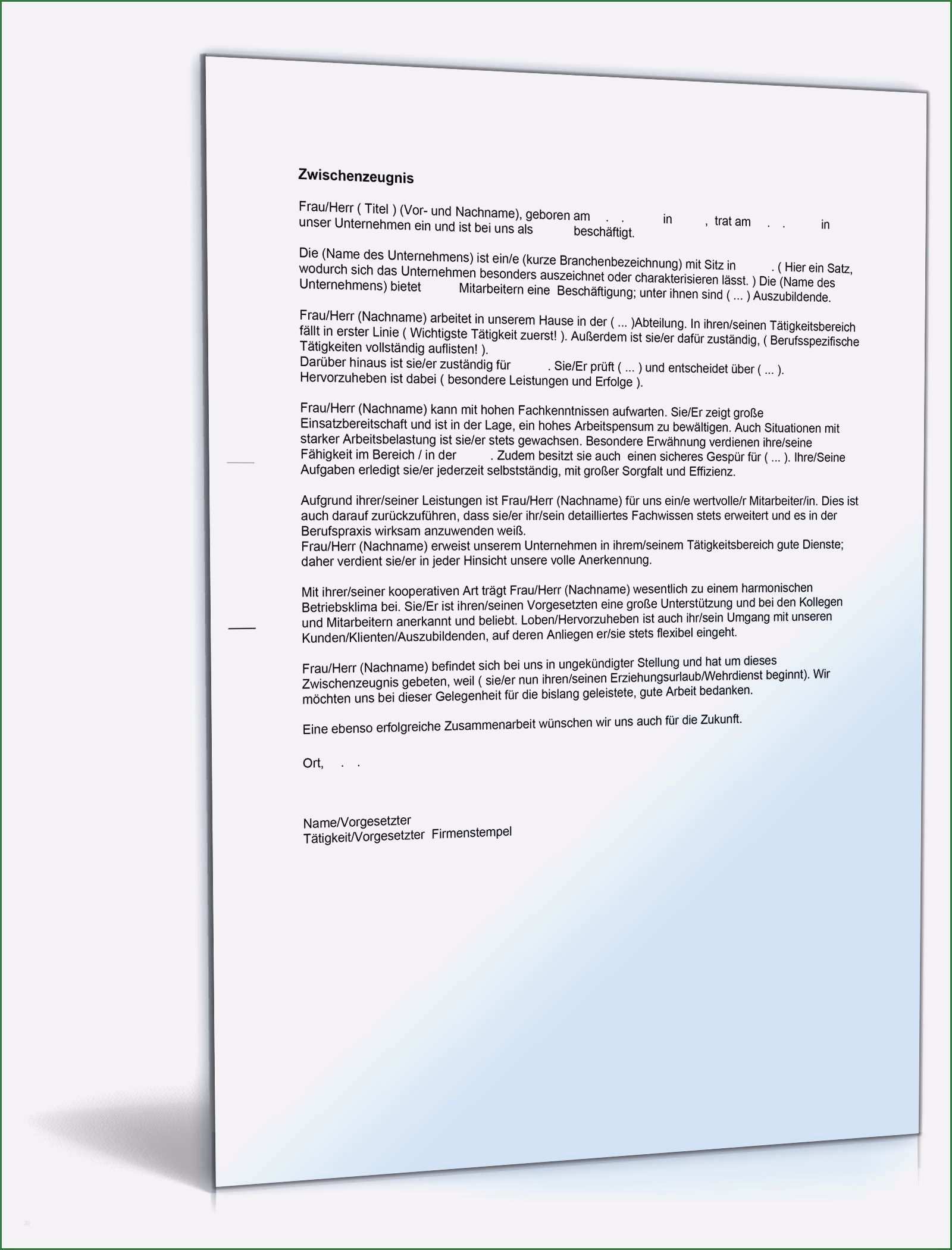
Zeugnis Bilanzbuchhalter Muster

Wie Wichtig Ist Der Schlussteil Des Anschreibens Zur Bewerbung Bewerbung Schreiben Anschreiben Bewerbung

Grund des ausscheidens aussprechen von bedauern des ausscheidens dank für die sehr guten leistungen positive wünsche für die zukunft.

Zeugnis bilanzbuchhalter muster. Februar 1965 trat am 01. Insgesamt entspricht das zeugnis der note 1 2 also einer guten bis sehr guten note. Frau muster geboren am 28 märz 1986 in muster ukraine war in der zeit vom 06 2009 bis 06 2010 als finanz und lohnbuchhalterin in unserem unternehmen tätig. Musterzeugnisse unsere arbeitszeugnis muster können sie in wenigen schritten an ihre individuellen stärken anpassen.

Bitte verwenden sie die formulierungen nicht für ein eigenes zeugnis und beachten die jeweils eingeblendeten kritikpunkte. 1 bürgerliches gesetzbuch bgb verpflichtet eine zumindest durchschnittliche leistung note 3 zu erbringen. Alle arbeitnehmer sind nach 243 abs. Diese vorlage leistet ihnen wertvolle hilfe einem bilanzbuchhalter in allen relevanten kriterien z b.

Das beispiel zeugnis enthält und erläutert die typischen auffälligkeiten und mängel von arbeitszeugnissen im genannten berufsbild. Dieses qualifizierte zeugnis hilft ihnen dem bilanzbuchhalter eine durchwegs hervorragende bewertung zu attestieren. Arbeitszeugnis finanzbuchhalterin zum lesen und bewerten. Er wurde als finanzbuchhalter eingesetzt.

Wenn sie diese anforderung übertroffen haben und eine bewertung der note 1 oder 2 verdienen können sie unsere. Arbeitszeugnis muster bilanzbuchhalter. Arbeitszeugnis vorlagen für bilanzbuchhalter bilanzbuchhalterin 12 ms word vorlagen für das rechtssichere zeugnis arbeitszeugnis und zwischenzeugnis als bilanzbuchhalterin sind perfekt zugeschnitten. Arbeitszeugnis bilanzbuchhalter muster arbeitszeugnis bilanzbuchhalter sehr gut arbeitszeugnis bilanzbuchhalter vorlage arbeitszeugnis f r bilanzbuchhalter zeugnis bilanzbuchhalter ihk zeugnis bilanzbuchhalter muster zeugnis f r bilanzbuchhalter zeugnis gepr fter bilanzbuchhalter.

Unser unternehmen ist spezialisiert auf die transportdienstleister lkw. Hier fehlt noch die schlussformel. Arbeitserfolg arbeitsweise arbeitsbefähigung und arbeitsbereitschaft die note gut auszustellen. Weitere arbeitszeugnisse die bspw als muster oder vorlage erstellt wurden finden sie ebenfalls in dieser rubrik.

Arbeitszeugnis herr michael schmidt geboren am 1.

Source : pinterest.com