Trennung Der Variablen Beispiel

Differenzialgleichung Trennung Variablen Mathe By Daniel Jung Youtube

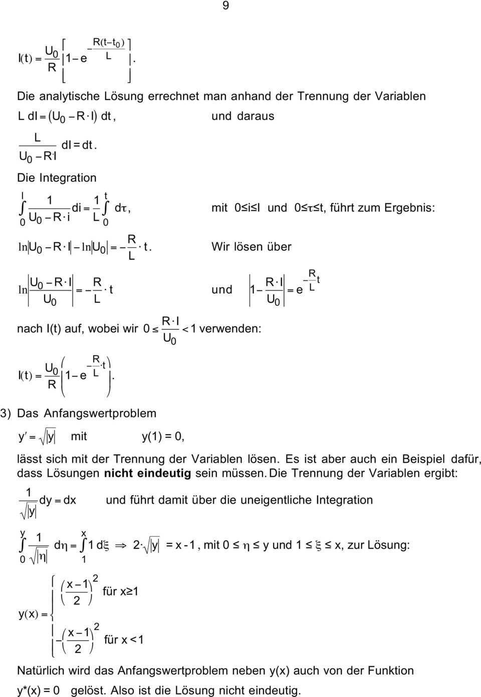
Dot y left t right a cdot y left t right 0 y.

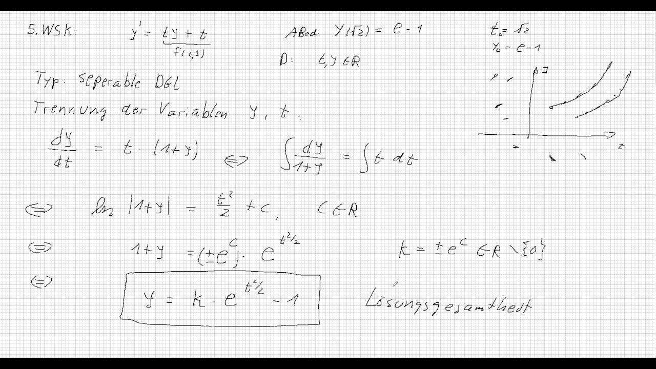
Trennung der variablen beispiel. In den meisten schulb uchern wird dabei als l osungsverfahren die methode der trennung der variablen genannt. Y t a y t 0. Y f x cdot g y trennung der veränderlichen t d v besitzt nennt man differentialgleichung mit getrennten variablen. Homogene lineare dg erster.

Beispiel ln y ln c x. 0 5x normal 1 1x 1 2x 1 5x 2x. Methode der trennung der variablen in den lehrplanen der ahs oberstufe und der htl wird das l osen einfacher differentialgleichungen genannt. In dieser form kann jetzt eine trennung der variablen durchgeführt werden indem das differenzial.

Einfache dg erster ordnung next. Die gleichung nach y aufzulösen xy y 0 xy y 0 x dy dx y 0 dy y dx x dy y dx x ln y ln x ln c ln c x y c x 1 3 ma 2 lubov vassilevskaya trennung der variablen. Um hieraus lösungen zu erhalten bedient man sich der methode der trennung der veränderlichen. Kettenregel für funktionen mehrerer variablen chemgapedi.

Trennung der variablen schritt 2. Erklärung und beispiel mit video play pause. Https www mathefragen de playlists zu allen mathe themen findet ihr. Differentialgleichung trennung der variablen analysiswenn noch spezielle fragen sind.

Source : pinterest.com