Textgebundene Eroerterung Klasse 10 Gymnasium Beispiel

Merkblatt Einleitung Erorterung Mit Beispielen Unterrichtsmaterial In Den Fachern Deutsch Fachubergreifendes Einleitung Merken Erorterung

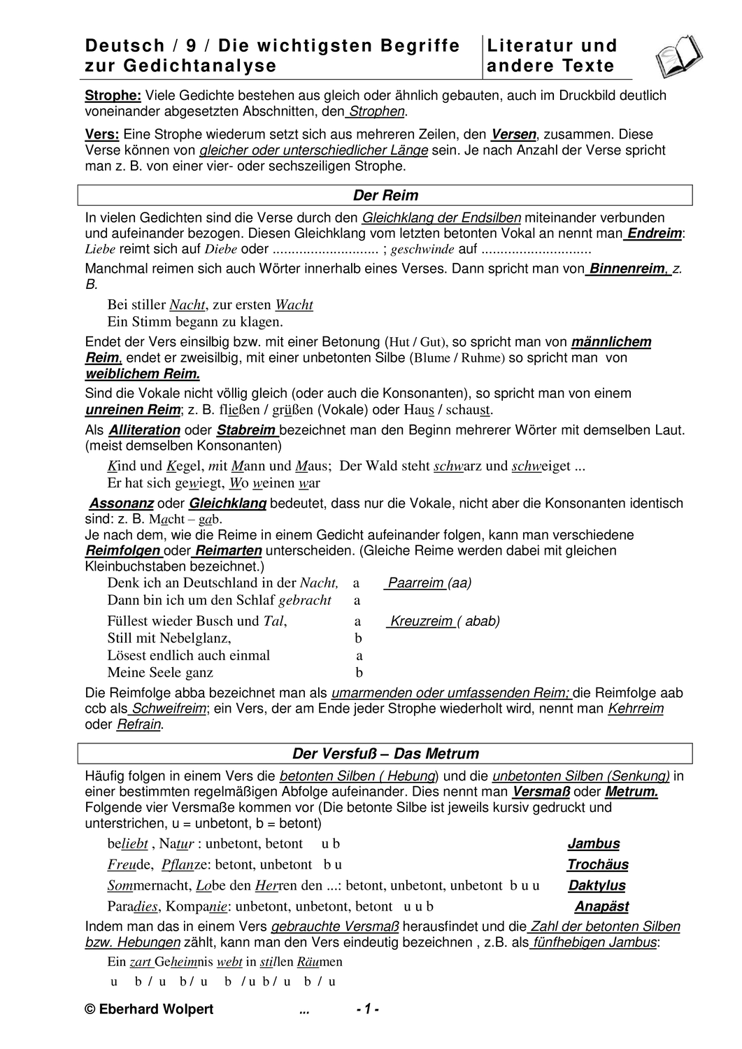
Eine erörterung ist die argumentative auseinandersetzung mit einem bestimmten thema.

Textgebundene eroerterung klasse 10 gymnasium beispiel. Hierbei beleuchtest du verschiedene ansichten und untermalst zum schluss deine eigenen ansichten mit argumenten. In diesem beitrag findest du ein beispiel für eine textgebundene erörterung zum thema staatliche überwachung. Als pdf word mit lösung mehr erfahre dialektische erörterung beispiel. Klasse textgebundene erörterung 2 dauer.

Analysiere die argumentationsstruktur des artikels gebt prallkissen und klapprechner eine chance und fasse dabei den text zusammen. Dieses beispiel zeigt den grundsätzlichen aufbau einer textgebundenen erörterung und wie die einzelnen pro und kontra argumente miteinander verknüpft werden können. Beispiel und bild mit freundlicher genehmigung des autors aus. Thema lehrplan plus für gymnasium klasse 9 deutsch zum download.

Dabei markierst du schlüsselbegriffe und kernsätze sodass die argumentation des verfassers nachvollzogen werden kann. Bei dieser form wird zunächst das behandelte problem benannt die textvorlage erschlossen und der gedankengang der textvorlage zusammenfassend wiedergegeben. Schulaufgabe im fach deutsch der 9. Als pdf datei 85 kb als word datei 49 kb klassenarbeit.

Zum thema textgebundene erörterung schreiben haben wir einen extra artikel geschrieben den du hier findest. Eine textgebundene erörterung setzt die gründliche textlektüre des zu erörternden textes voraus. Man vermeidet ganz allgemein lieber den gedanken daran dass man selbst alt und krank werden könnte. Empfohlen von tutorin joana.

Je nach zeitrahmen solltest du den text zwei bis dreimal vollständig durchlesen. Ein weiterer entscheidender punkt ist die scheu der meisten menschen sich mit dem tod zu befassen. Um eine erörterung zu schreiben gibt es zwei wege es gibt die freie erörterung und die textgebundene erörterung auch literarische erörterung genannt bei der freien erörterung wird ein thema. Klassenarbeiten mit musterlösung zum thema drei beispiele gelungener erörterungen erörterung.

Textgebundene erörterung beispiel klasse 10 case study dresden friedrichstadt schleswig holstein 2017 international essay writing contests good essay writing music meine beste freundin aufsatz. Textgebundene erorterung beispiel klasse 10 length. Textgebundene erörterung eine textgebundene erörterung geht von einer textvorlage aus die eine strittige frage behandelt. 2 stunden 15 minuten 16 punkte.

Unterrichtsmaterial lehrer impressum. Von der heyde hartmut aufsatz 9 10.

Source : pinterest.com