Standardabweichung Berechnen Beispiel

Standardabweichung Einer Haufigkeitstabelle In Excel Berechnen Daten Analysieren In Excel 10 Youtube

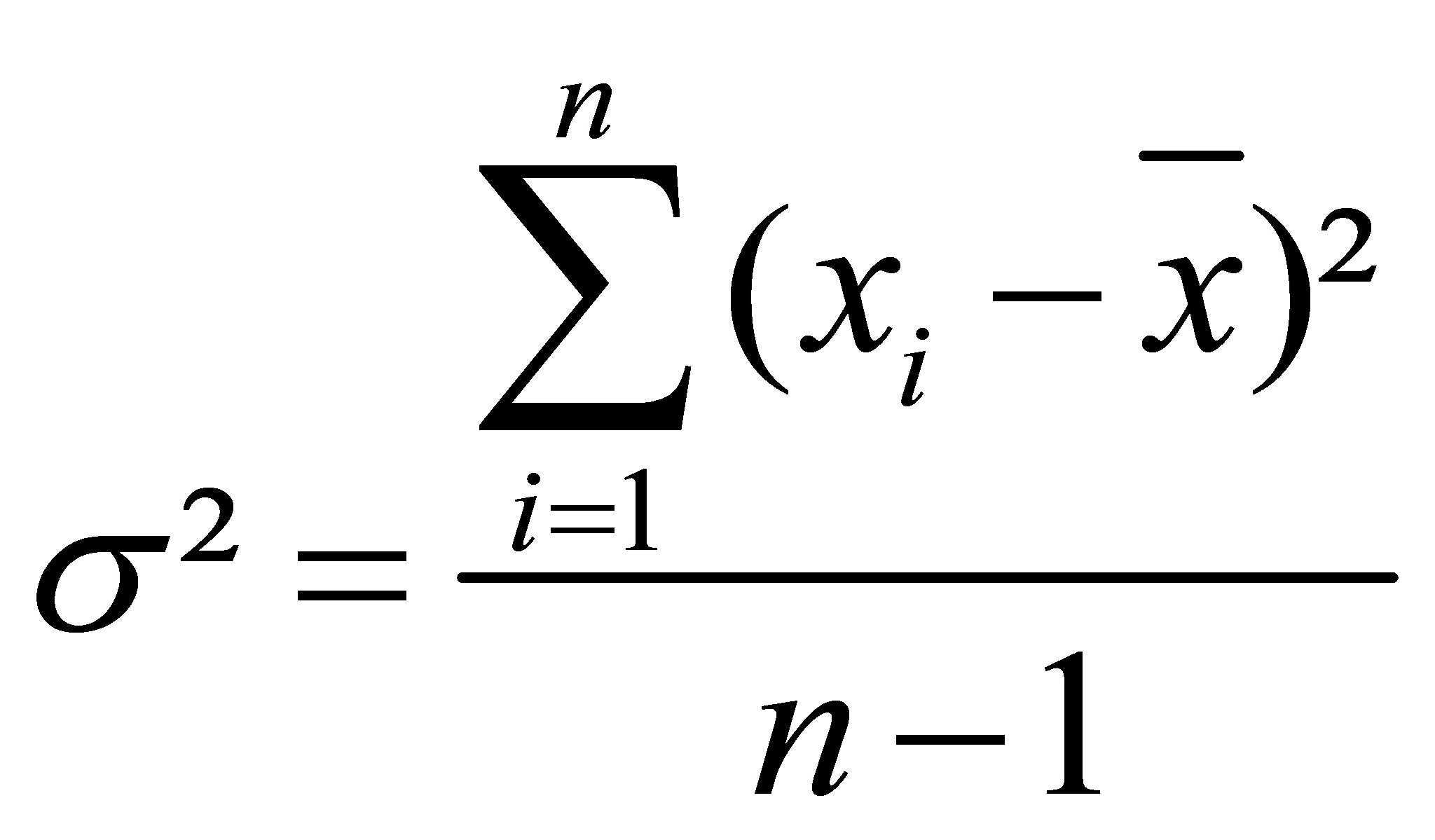
Die standardabweichung σ ist dann 4 quadratwurzel aus 16.

Standardabweichung berechnen beispiel. Bei einem zweiten beispiel wird es noch klarer. Bei der familie mit 5 kindern im alter von 1 3 5 9 und 12 jahren war der arithmetische mittelwert 6 und die varianz war 16. Beispiel deine werte für die du die standardabweichung bestimmen willst stehen in den zellen c3 bis l3. Am montag waren es 8 minuten am dienstag 7 minuten am mittwoch 9 minuten donnerstag 10 minuten und freitag 6 minuten.

übertragen auf unser beispiel beschreibt die standardabweichung also wie weit die noten von der durchschnittsnote entfernt liegen also die durchschnittsnote plus oder minus 1 44. Aufgabe marc schreibt eine woche lang auf wie lange er von zuhause in die schule gebraucht hat. Stell dir vor die noten sind extremer verteilt. Auf basis der beispieldaten zur varianz.

Source : pinterest.com