Picard Lindeloef Beispiel

Differentialgleichungen Satz Von Picard Lindelof Youtube

Man unterscheidet die lokale von der globalen version.

Picard lindeloef beispiel. Die voraussetzung dieser versionen ist immer die stetigkeit der rechten seite und das bestehen einer lipschitz bedingung. Der satz von picard lindelöf ist in der mathematik neben dem satz von peano ein grundlegender satz der theorie über die existenz von lösungen gewöhnlicher differentialgleichungen er wurde erstmals 1890 von ernst leonard lindelöf in einem artikel zur lösbarkeit von differentialgleichungen aufgestellt. Y00 y y 0 1 y0 0 0 i man erkennt sofort dass y cos das problem l ost. Um die gleiche zeit beschäftigte sich auch émile picard mit der schrittweisen.

Universität duisburg essen essen den18 06 2012 fakultät für mathematik s. Although this method is rarely used for actual evaluations due to slow. Historically picard s iteration scheme was the first method to solve analytically nonlinear differential equations and it was discussed in the first part of the course in this section we widen this procedure for systems of first order differential equations written in normal form dot bf x bf f t bf x. Aufgrund dieser eigenschaften gibt es dann ein intervall i in dem lösungsfunktion y x existiert und dort.

Thiel satz von picard lindelöf 1 3 der fundamentale existenz und eindeutigkeitssatz. Wie du das picard lindelöfschen iterationsverfahren anwendet erklären wir dir in diesem kurstext anhand eines ausführlichen beispiels und videos. Schlussfolgerungen aus dem satz von picard lindelöf du kennst. Andererseits erh alt man die l osung auch uber das iterationsverfahren von picard lindel of.

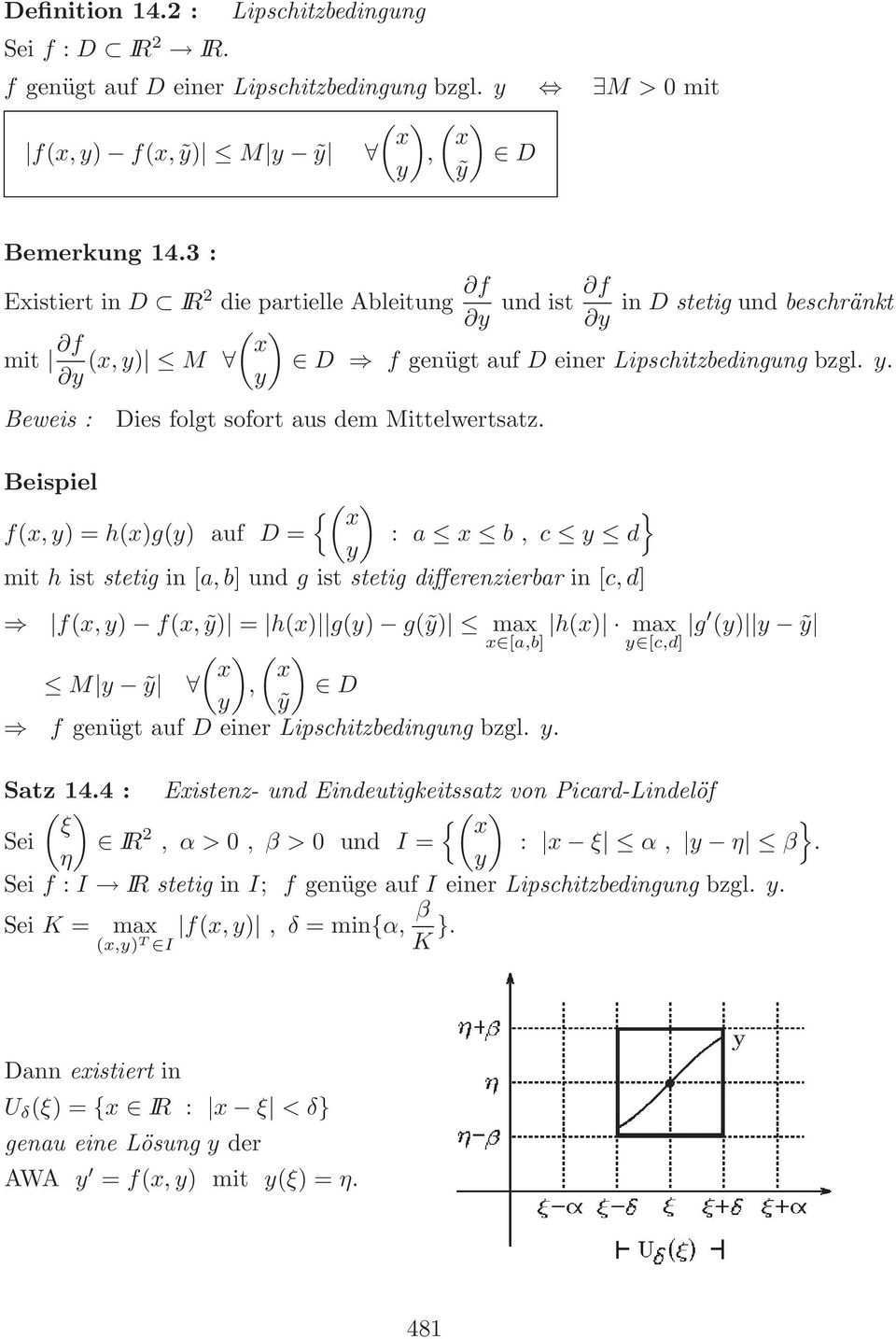
Man kann von gegeben punkten x0 y0 eines anfangswertproblems ausgehen und die lipschitz bedingung bezüglich y in einem quader der diese beiden punkte enthält nachweisen. Der eindeutigkeitssatz von picard lindelöf kann in zwei versionen betrachtet werden. Der fixpunkt ist aber gerade die einzige lösung des differentialgleichungssystems. Wir konstruieren einen vollständigen metrischen raum stetiger funktionen mit einer kontrahierenden abbildung dann können wir den banachschen fixpunktsatz anwenden.

Source : pinterest.com