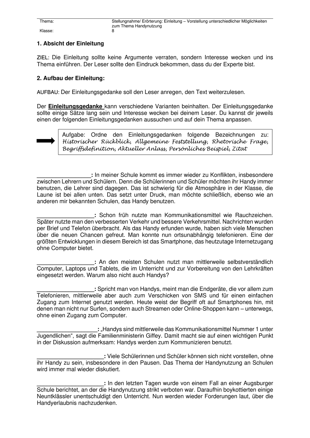
Literarischer Text Beispiel

Analyse Und Interpretation Leitfaden Fur Alle Literarischen Texte Kurzgeschichte Gedicht Etc Word Pdf Mit Lernen Tipps Schule Lernen Deutsch Lernen

Man kann einen lyrischen text anhand von verschiedenen merkmalen erkennen und unterscheiden.

Literarischer text beispiel. Um sie einordnen zu können sollten zuvor die anmerkungen gelesen werden. B und nun sollen seine geister a auch nach meinem willen leben. Nachts schlafen die ratten doch. Was schließt du daraus.

Die folgende literarische erörterung ist eine exemplarische begegnung mit dem text der verlorene. Meistens wird die lyrische form eines gedichts interpretiert und analysiert. Grundsätzlich lässt sich jeder text analysieren wobei wir in bezug auf den fachbereich deutsch zwischen der analyse literarischer texte und der sachtextanalyse unterscheiden. Die interpretation soll die absicht und den zweck des gedichtes erklären.

Dabei liegt unser augenmerk zwar jedes mal auf einem anderen schwerpunkt doch im eigentlichen ist das vorgehen bei einer solchen untersuchung gleichbleibend und lässt sich auf die verschiedenen textsorten anwenden. Die gedichtinterpretation beschreibt das gedicht in anbetracht der form wörter stil und inhalt. Aber auch sachtexte tragen sinn in sich und so ist ezra pounds definition nicht vollkommen zufriedenstellend. Das ehepaar zwei lichter auf dem tisch setzen sich setzt voraus das reale geschehen am anfang speziell den 3.

B umarmender reim abba beispiel. Da mein leistungskurs deutsch nachfragte ob ich ein beispiel einer literarischen erörterung verfassen könnte komme ich dieser bitte nach. Der autor möchte mit. Werkzeuge zur arbeit mit literarischen texten rainer e.

In diesem arbeitsbereich zur inhaltsangabe von sachtexten finden sie eine auswahl verschiedener texte die auf dieser webseite im originaltext verfügbar sind und sich besonders gut zur inhaltsangabe eignen. Eine andere erklärung literarischer texte konzentriert sich auf den einsatz sprachlicher mittel. Das bettelweib von locarno die analyse des mehrfachen spukgeschehens zuletzt in szenischer erzählweise satz 15. Die im text dargestellte situation thematik these problematik ist bedeutende erschreckend zeigt.

Analyse interpretation literarischer texte einfach erklärt viele textanalyse und textinterpretation themen üben für analyse interpretation literarischer texte mit videos interaktiven übungen lösungen. Demnach wäre ein literarischer text zum beispiel ein epischer lyrischer oder dramatischer text der sinn trägt. Der kontext des literarischen textes selbst am beispiel kleist. Epische kleinformen kurzgeschichten kalendergeschichten parabeln borchert wolfgang.

Darüber informieren aufklären aufrufen zu.

Source : pinterest.com