Integration Durch Substitution Beispiel

Integration Durch Substitution Einfach Erklart Mit Video Mit Video

Aus einer verkettung zweier funktionen besteht.

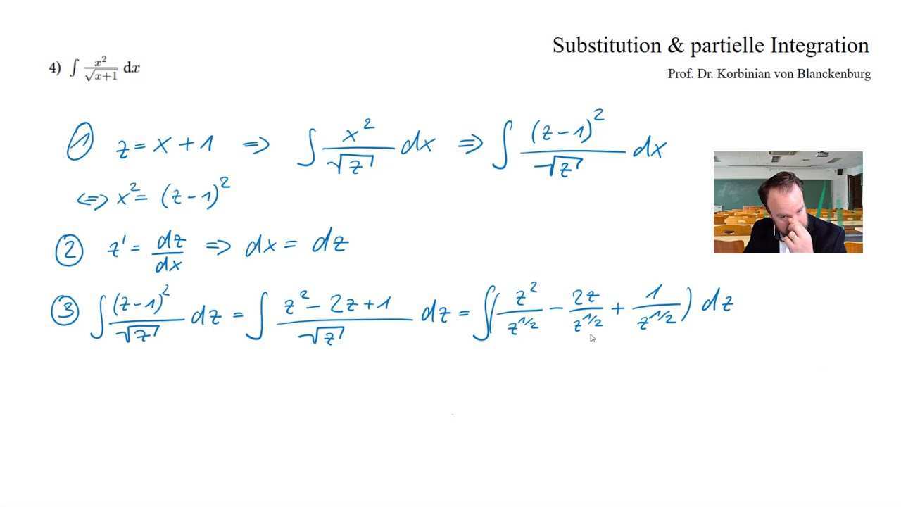
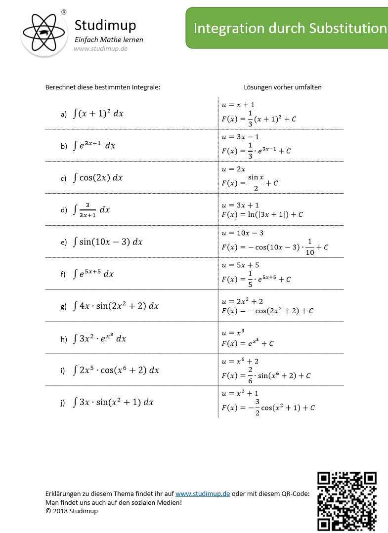
Integration durch substitution beispiel. Lösung unbestimmter integrale durch substitution. Der integrand weißt also genau die struktur der linken seite der substitutionsgleichung auf. Berechnen sie folgende integrale. Müssten wir nur cos x integrieren wäre dies ganz einfach.

Hier erkennt man dass der integrand aus der äußeren funktion mit der inneren funktion besteht welche mit der ableitung der inneren funktion multipliziert wird. Denn beispiele verdeutlichen die vorgehensweise in der regel am besten. Ziel der integration durch substitution ist es durch einführung einer neuen integrationsvariablen ein teil. Verständliche erklärung mit beispiel und übungsaufgaben ja auch wir verwenden ein absolutes minimum an cookies um die nutzererfahrung zu verbessern.

Um f x per substitution zu integrieren müssen wir eine neue variable einführen u. Zusammenfassend kann man sagen. Zu article integration durch substitution. Ordnung y f x y mit hilfe einer ge eigneten substitution auf eine dgl 1.

Auf eine weitere vereinfachung des terms wird an dieser stelle verzichtet. Anhand dieser vier punkte sollen nun einige beispiele zur integration durch substitution vorgerechnet werden. Beispiele 1 displaystyle int 2x cdot e x 2 dx durch scharfes hinsehen erkennen wir das im exponenten der e funktion der termin x 2 steht die ableitung x 2 2x steht aber auch als faktor vor. Wie funktioniert die integration durch substitution.

Im zweiten beispiel wollen wir das folgende integral betrachten. Beispiel 1 berechne das integral displaystyle int 2 x e x 2 dx. Integration durch substitution beispiel 2. In unserem beispiel ersetzen wir 6x durch u sodass u 6x.

Integration durch substitution logarithmisches integrieren renate 2014 03 20 18 09 12 0100 das logaríthmische integrieren sollte einen eigenen artikel bekommen. Wie der name schon sagt wird bei der substitution ein term durch einen anderen ersetzt. Lösung bestimmter integrale durch substitution die direkte anwendung der grundintegrale ist nicht immer möglich in solchen fällen hilft die methode der substitution. Mit anschaulichen beispielen trainingsaufgaben integration durch substitution.

Im ersten beispiel soll ein bruch integriert werden. Die voraussetzung um die integration durch substitution zu verwenden ist dass displaystyle u x im intervall displaystyle a b differenzierbar ist. F x 2 7 x 17 2 5 x 15 c f x 2 7 x 1 7 2 5 x 1 5 c. Integration einer dgl durch substitutioncc in einigen fällen ist es möglich eine explizite differen tialgleichung 1.

Dabei halten wir uns an den 4 punkte plan weiter oben.

Source : pinterest.com