Boolesche Algebra Vereinfachen Beispiel

Boolesche Algebra Rechenregeln Und Gesetze Mit Video

Tertium non datur es gibt keine dritte m oglichkeit.

Boolesche algebra vereinfachen beispiel. Viel spaß beim anwenden der regeln bester taschenrechner für die uni. Das ist kein zufall sondern liegt daran dass die aussagenlogik ebenfalls eine boolesche algebra bilden. Nach streichen von verlängerungen und vereinfachen 2 c d b d a d b 1 1 1 1 1 1 c a d b c p2 p1. Eine variable plus 1 ergibt in der booleschen algebra immer 1 deshalb können wir den letzten term streichen.

Wir erhalten folgenden algebraischen ausdruck. Ist a eine aussage so bezeichnet w a ihren wahrheitswert w a 1 falls a eine wahre aussage ist und w a 0 andern falls. Durch die boolschen algebra regeln wissen wir dass nicht nicht a gleich a ist. Boolesche algebra beispiel nr 1 konstruieren sie eine wahrheitstabelle für die logischen funktionen an den punkten c d und q in der folgenden schaltung und identifizieren sie ein einzelnes logikgatter das verwendet werden kann um die gesamte schaltung zu ersetzen.

Die boolesche algebra wird auch häufig als boolescher verband bezeichnet und ist ein mathematisches system das auf logik basiert. Beispiel boolesche algebra mit zwei elementen die menge m displaystyle m der besteht aus den beiden wahrheitswerten w displaystyle mathsf w und f displaystyle mathsf f es gilt also. M w f displaystyle m mathsf w mathsf f.

Gra ws 2004 2005 24 01 2005 4. Boolsche algebra in dieser aufgabe soll noch einmal der umgang mit der boolschen algebra geuebt werden. Gesetze der booleschen algebra.

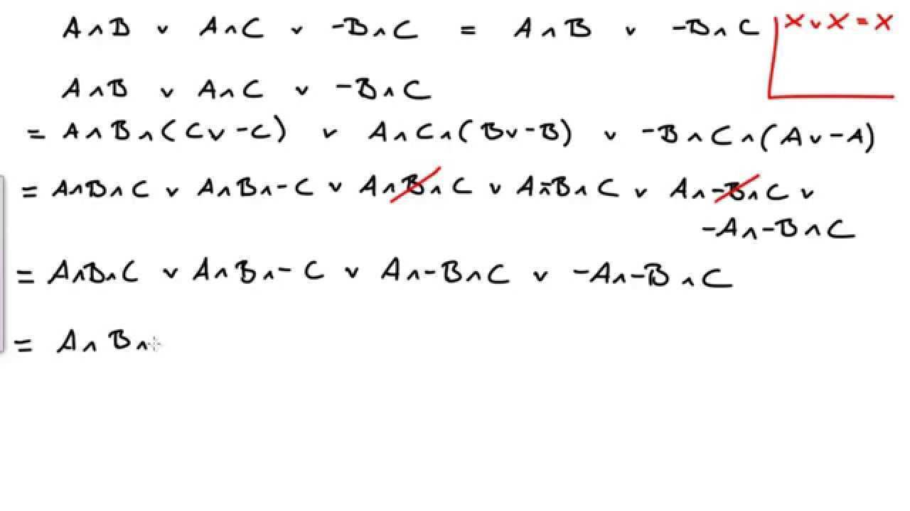
Beweis durch umformen anwendung der gesetze. Woraus die gleichheit 𝑦 𝑥 folgt. Sie wurde nach george boole benannt. Dieser erfand die algebraischen strukturen um komplexe boolesche ausdrücke zu vereinfachen und wandte diese erstmals auf die aussagenlogik an.

Hier sind einige beispiele wie wir die boolesche algebra nutzen können um größere digitale logikschaltungen zu vereinfachen. Hallo leute heute eine übung boolsche algebra und zwar zum thema terme vereinfachen. Die boolesche algebra ist nach george boole benannt da sie auf dessen logikkalkül von 1847 zurückgeht in dem er erstmals algebraische methoden in der klassenlogik und aussagenlogik anwandte. Ihre heutige form verdankt sie der weiterentwicklung durch mathematiker wie john venn william stanley jevons charles peirce ernst schröder und giuseppe peano.

Damit lässt sich in einem. Aus 𝑥 𝑦 0 und 𝑥 𝑦 1 folgt 𝑦 𝑥. Oberle boolesche algebra wise 2006 07 1. De morgansche gesetz an diesmal allerdings anders herum.

Sowie 𝑥 𝑥 0 𝑥 𝑥 𝑦 𝑥 𝑥 𝑥 𝑦 1 𝑥 𝑦 𝑥 𝑦 𝑦 𝑥. Aussagen de nition 1 1 aussagen sind s atze die entweder wahr oder falsch sind. Technische informatik http kohnlehome de informatik uebung boolesche algebra pdf ubung.

Source : pinterest.com